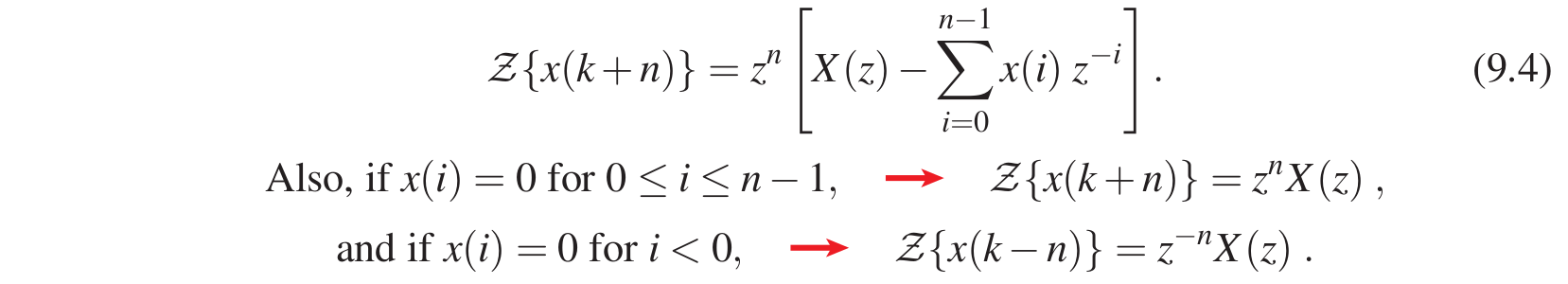
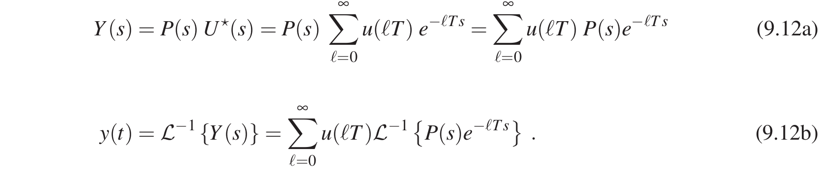
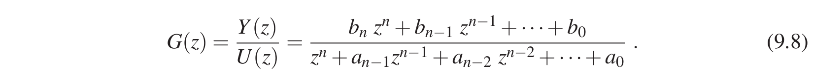
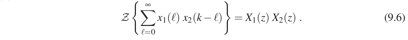
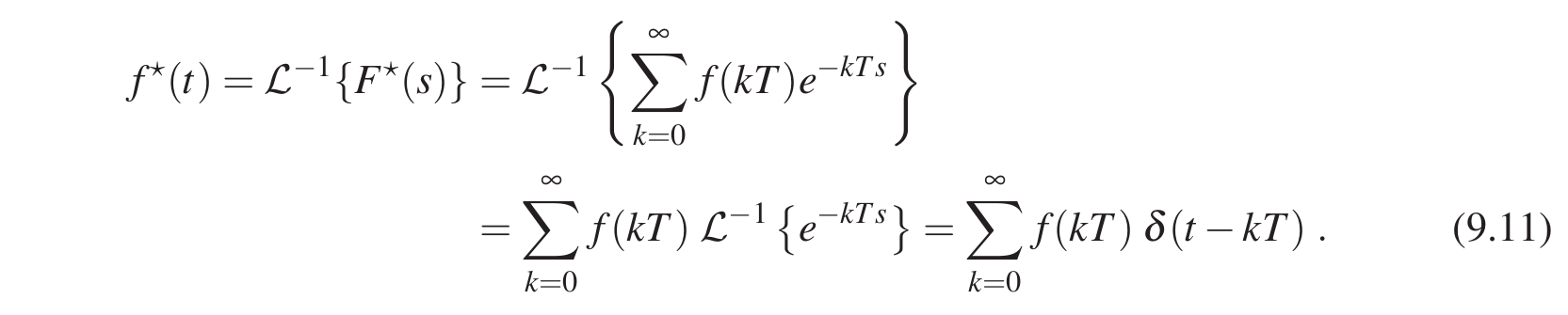
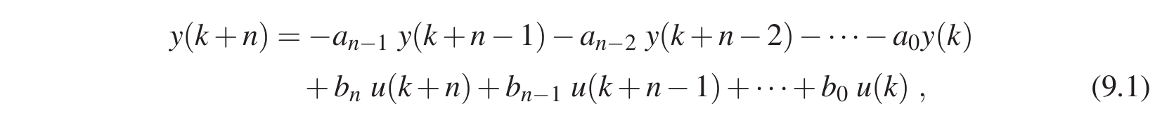
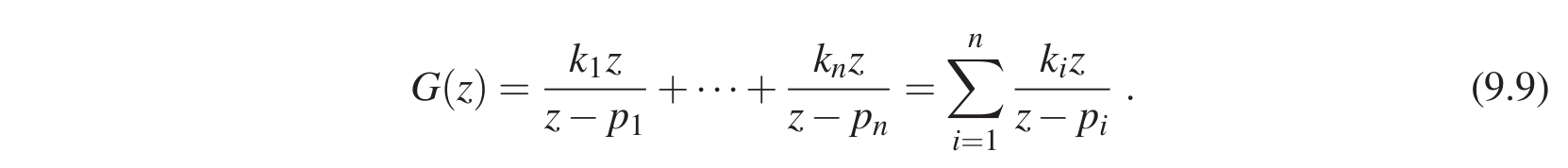
Chapter 9 Equations