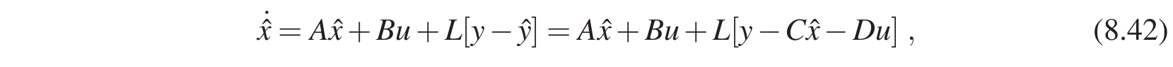
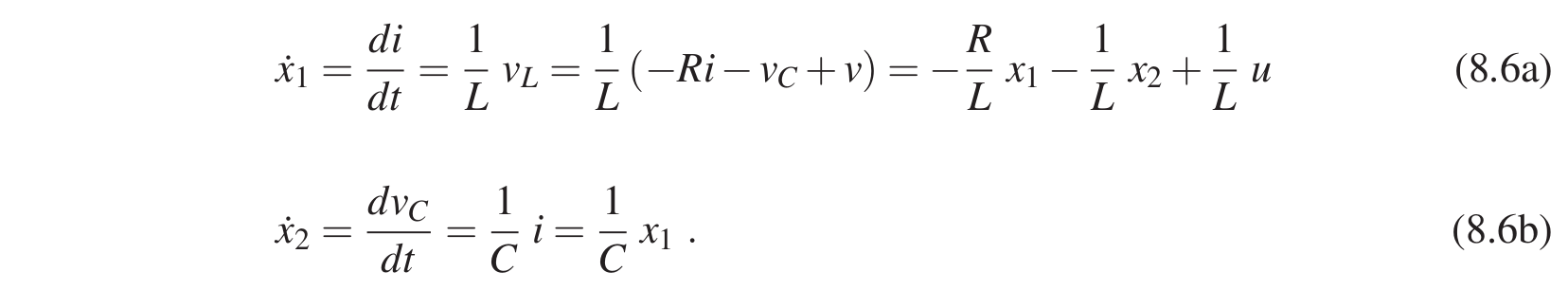
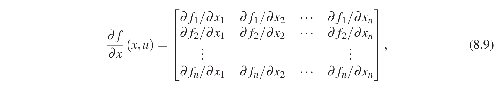
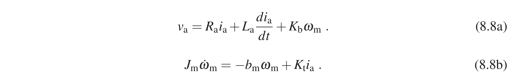
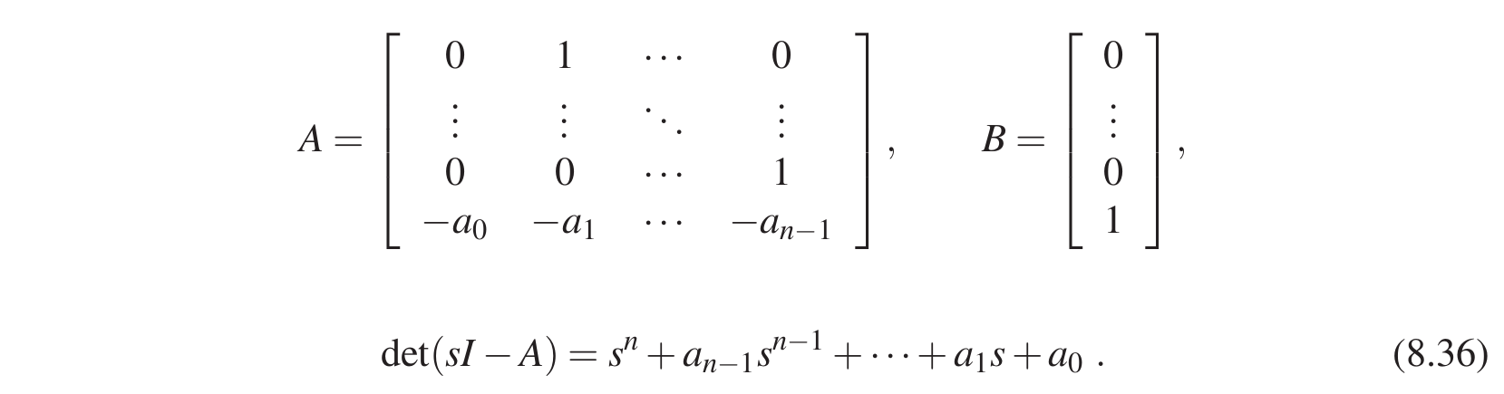
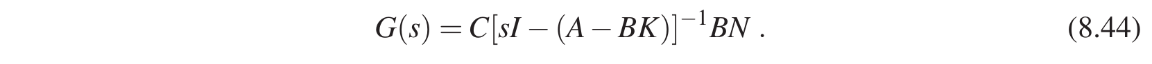
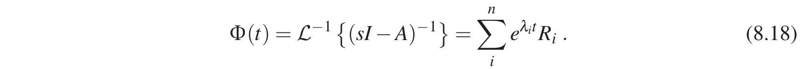
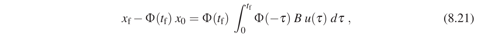
Chapter 8 Equations