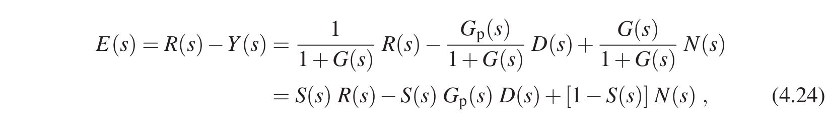
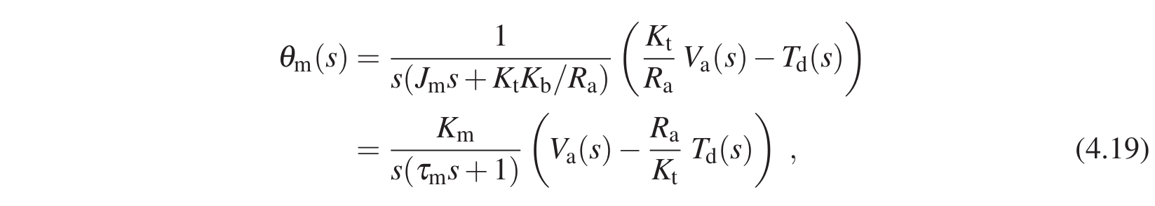
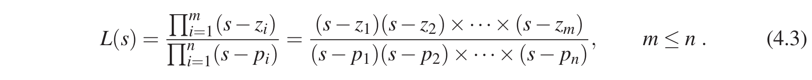
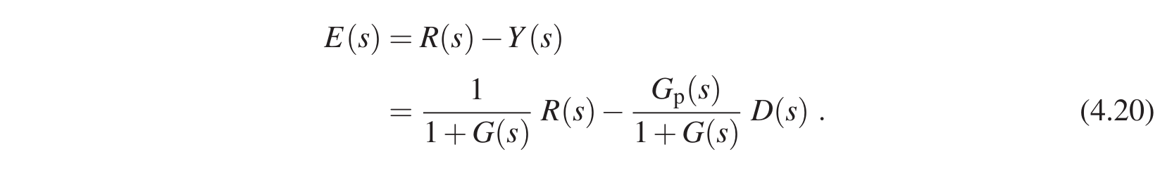
Chapter 4 Equations