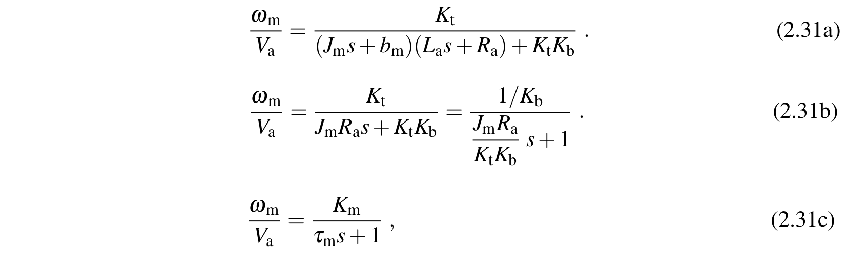
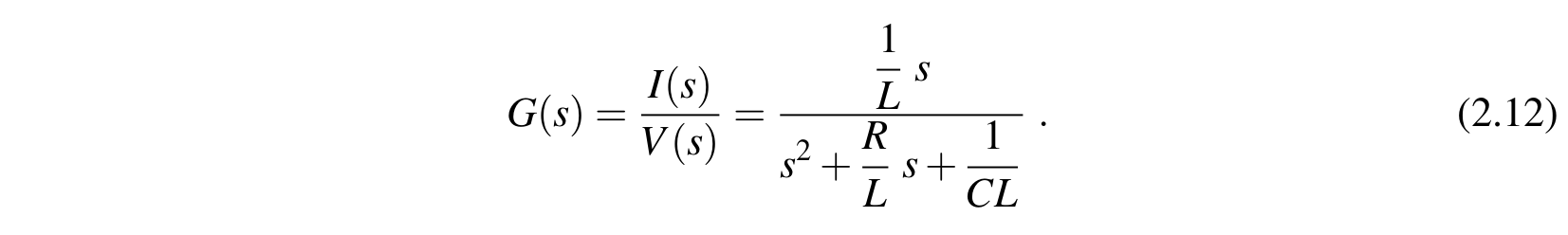
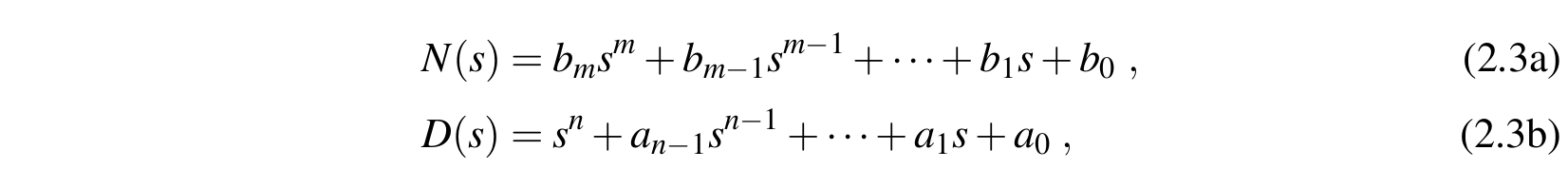
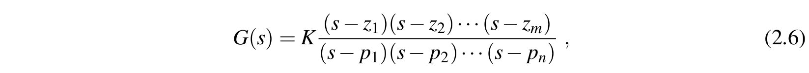
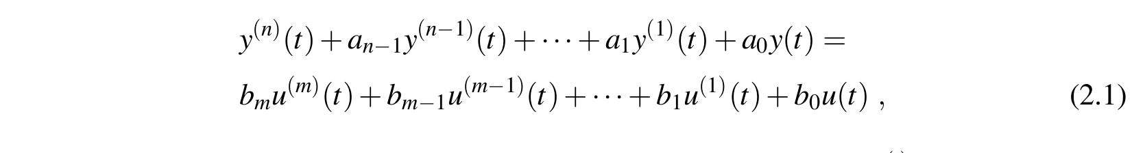
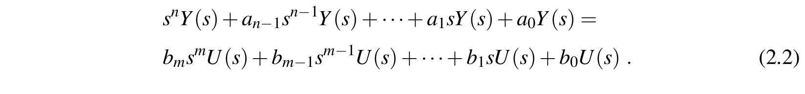
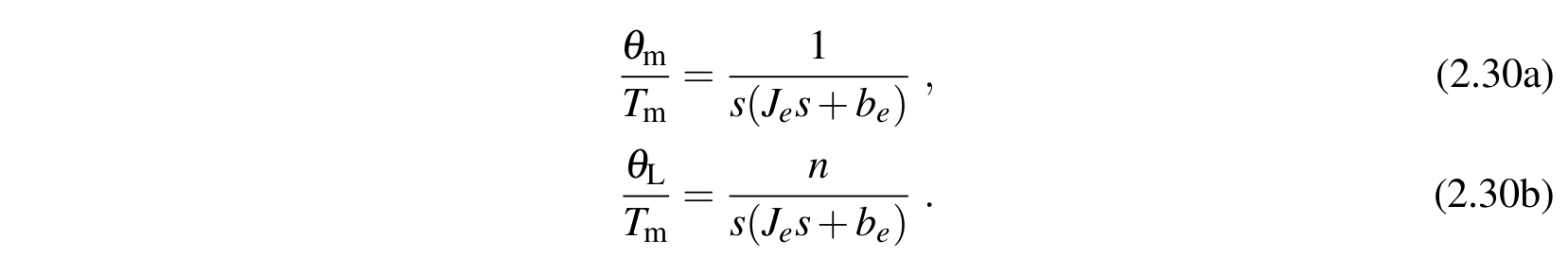
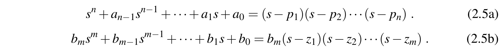
Chapter 2 Equations